Theo danh sách này, năm nay, toàn trường có hơn 2.700 thí sinh trúng tuyển vào 18 ngành học, trong đó nhiều nhất là nhóm ngành Y khoa với 420 thí sinh. Y khoa cũng là là ngành có điểm chuẩn cao nhất trường với mức 27,34 điểm theo điểm thi tốt nghiệp THPT năm 2025.
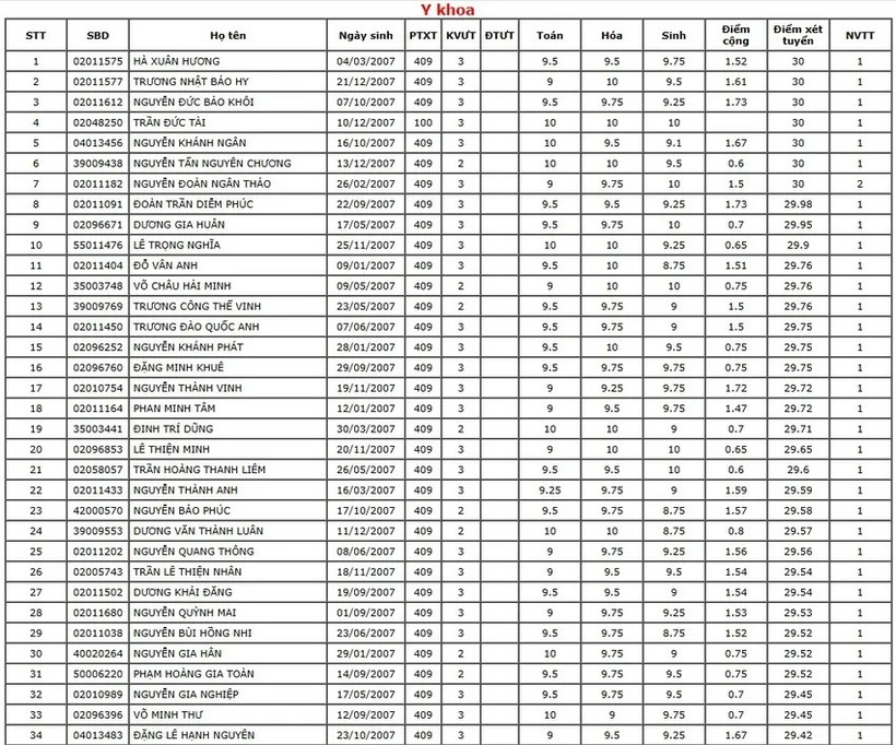
Chính vì có điểm chuẩn cao nhất nên ngành Y khoa sở hữu nhiều thí sinh có điểm trúng tuyển cao nhất năm nay. Đặc biệt nhất, có đến 7 em có điểm trúng tuyển tuyệt đối 30/30 ở tổ hợp B00 (Toán, Hóa, Sinh). Đáng chú ý, duy nhất trong số này chỉ có một em đạt 3 điểm 10 ở cả 3 môn thi là em Nguyễn Đức Tài.
Thông tin trên báo Pháp luật TP.HCM, Nguyễn Đức Tài là cựu học sinh Trường THCS - THPT Nguyễn Khuyến, TP.HCM, em là thí sinh duy nhất đạt 3 điểm 10 môn Toán - Hóa - Sinh trong kỳ thi tốt nghiệp THPT 2025.
Đức Tài cũng là một trong ít thí sinh trúng tuyển vào ngành Y khoa mà không có điểm cộng, còn phần lớn thí sinh được cộng từ 0,6 đến gần 2 điểm. Còn 6 thí sinh trúng tuyển điểm tuyệt đối còn lại đều nhờ điểm cộng.

Những thí sinh có điểm trúng tuyển cao nhất vào Trường Đại học Y dược TP.HCM. Ảnh: PLO
Theo báo VietNamnet, năm 2025, ở ngành Răng - Hàm - Mặt, Trường ĐH Y dược TP.HCM có 128 thí sinh trúng tuyển. Thí sinh có điểm xét tuyển cao nhất đạt 29,54.
Ngành Y học Dự phòng có 115 thí sinh trúng tuyển. Thí sinh có điểm xét tuyển cao nhất đạt 25,75.
Ngành Y học Cổ truyền có 230 thí sinh trúng tuyển. Thí sinh có điểm xét tuyển cao nhất đạt 28,07.
Ngành Dược học có 597 thí sinh trúng tuyển. Thí sinh có điểm xét tuyển cao nhất đạt 29,45.
Ngành Hóa dược có 65 thí sinh trúng tuyển. Thí sinh có điểm xét tuyển cao nhất đạt 28,7.
Ngành Điều dưỡng có 220 thí sinh trúng tuyển; Ngành Điều dưỡng gây mê hồi sức có 130 thí sinh; Hộ sinh có 131 thí sinh; Dinh dưỡng có 87 thí sinh; Kỹ thuật phục hình răng có 42; Kỹ thuật xét nghiệm y học có 170; Kỹ thuật hình ảnh y học có 94; Kỹ thuật phục hồi chức năng có 109; Y tế công cộng có 96; Công tác xã hội có 61.










