Cục Quản lý Dược, Bộ Y tế vừa ra quyết định thu hồi 252 số tiếp nhận Phiếu công bố sản phẩm mỹ phẩm do Cục Quản lý Dược cấp đối với sản phẩm mỹ phẩm tại Danh mục kèm theo Quyết định này.
Lý do thu hồi Công ty đề nghị thu hồi tự nguyện số tiếp nhận Phiếu công bố sản phẩm mỹ phẩm do Công ty không còn nhu cầu kinh doanh sản phẩm mỹ phẩm nêu trên.
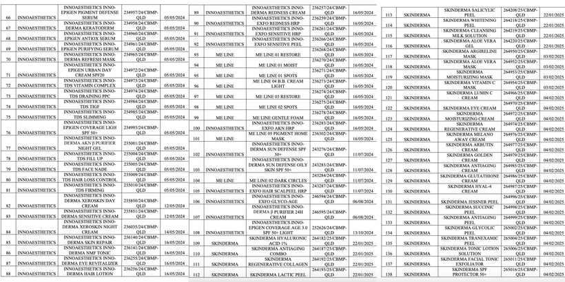
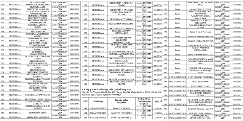
Danh mục bị thu hồi bao gồm nhiều dòng mỹ phẩm khác nhau như sản phẩm chăm sóc da mặt, chống nắng, serum điều trị, peel da, mặt nạ, kem dưỡng, sản phẩm chăm sóc cơ thể và tóc, thuộc các nhãn Ksurgey, INNOAESTHETICS, SKINDERMA, ME LINE và Purlés.
Danh sách 252 số tiếp nhận Phiếu công bố sản phẩm mỹ phẩm bị thu hồi:














