(ĐSPL) Đáp án đề thi đại học môn Toán khối D năm 2014, tham khảo đáp án đề thi đại học môn Toán khối D năm 2014 cập nhật nhanh nhất tại ĐSPL.
Đáp án đề thi đại học môn Toán khối D năm 2014 hiện đang được ĐSPL cập nhật sớm nhất tới độc giả. Đáp án đề thi đại học môn Toán khối D năm 2014 được giải bởi giáo viên chuyên Toán đang giảng dạy tại các trung tâm nổi tiếng tại Hà Nội.
| Đáp án đề thi Đại Học năm 2014 các môn thi trắc nghiệm khối B và D: Tra cứu đáp án nhanh nhất môn Hóa khối B hãy soạn tin DA HOAB Mãđề gửi 6688 vd: bạn thi môn Hóa vs mã đề 123 hãy soạn tin DA HOAB 123 gửi 6688 Tra cứu đáp án nhanh nhất môn Sinh khối B hãy soạn tin DA SINHB Mãđề gửi 6688 vd: bạn thi môn Sinh vs mã đề 123 hãy soạn tin DA SINHB 123 gửi 6688 Tra cứu đáp án nhanh nhất môn Tiếng Anh khối D hãy soạn tin DA ANHD Mãđề gửi 6688 vd: bạn thi môn Tiếng Anh khối D vs mã đề 123 hãy soạn tin DA ANHD 123 gửi 6688 |
Đáp án đề thi đại học môn Toán khối D năm 2014 (Đang cập nhật)
![]() |
| Đáp án đề thi đại học môn toán khối D năm 2014 |
![]() | ||||||||||
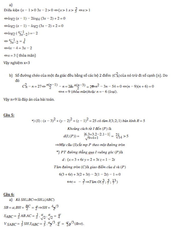
Đáp án đề thi đại học môn toán khối D năm 2014
|
Tra cứu đáp án các môn thi đại học năm 2014
Đề Thi | Đáp Án |
Đề thi đại học môn Toán khối B năm 2014 | Đáp án đề thi đại học môn Toán khối B năm 2014 |
Đề thi đại học môn toán khối D năm 2014 | Đáp án đề thi đại học môn toán khối D năm 2014 |
Đề thi đại học môn Hóa học khối B năm 2014 | Đáp án đề thi đại học môn Hóa học khối B năm 2014 |
Đề thi đại học môn Sinh Học khối B năm 2014 | Đáp án đề thi đại học môn Sinh học khối B năm 2014 |
Đề thi đại học môn Tiếng anh khối D năm 2014 | Đáp án đề thi đại học môn Tiếng Anh khối D năm 2014 |
Đề thi đại học môn Địa Lý khối C năm 2014 | Đáp án đề thi đại học môn Địa Lý khối C năm 2014 |
Đề thi đại học môn Văn khối C năm 2014 | Đáp án đề thi đại học môn Văn khối C năm 2014 |












