(ĐSPL) - Đáp án đề thi đại học môn Toán khối B năm 2014, đã có đáp án đề thi đại học môn Toán khối B cho các sĩ tử và thí sinh tham khảo tại đây.
Đáp án đề thi đại học môn Toán khối B năm 2014 được ban tuyển sinh của ĐSPL giải bởi các thầy cô có uy tín và chuyên môn cao đang giảng dạy tại các trường đại học và THPT nổi tiếng tại Hà Nội.
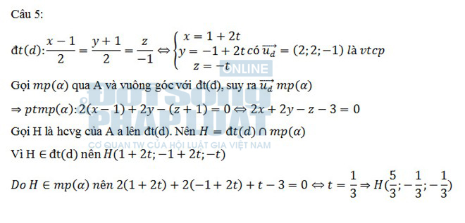
Đáp án đề thi đại học môn Toán khối B năm 2014
![]() |
| Đáp án đề thi đại học môn Toán khối B năm 2014 |
![]() | ||
Đáp án đề thi đại học môn Toán khối B năm 2014
|
![]() |
| Đáp án đề thi đại học môn Toán khối B năm 2014 |
![]() |
| Đáp án đề thi đại học môn Toán khối B năm 2014 |
![]() | ||||
Đáp án đề thi đại học môn Toán khối B năm 2014
|
![]() |
| Đáp án đề thi đại học môn Toán khối B năm 2014 |
|
Tra đáp án các môn thi Đại Học năm 2014:
Đề Thi | Đáp Án |
Đề thi đại học môn Toán khối B năm 2014 | Đáp án đề thi đại học môn Toán khối B năm 2014 |
Đề thi đại học môn toán khối D năm 2014 | Đáp án đề thi đại học môn toán khối D năm 2014 |
Đề thi đại học môn Hóa học khối B năm 2014 | Đáp án đề thi đại học môn Hóa học khối B năm 2014 |
Đề thi đại học môn Sinh học khối B năm 2014 | Đáp án đề thi đại học môn Sinh học khối B năm 2014 |
Đề thi đại học môn Tiếng Anh khối D năm 2014 | Đáp án đề thi đại học môn Tiếng Anh khối D năm 2014 |
Lịch thi tuyển sinh đại học Đợt II, ngày 9 - 10/7/2014, thi đại học khối B, C, D và các khối năng khiếu:
| Ngày | Buổi | Môn thi đại học 2014 | ||
| Khối B | Khối C | Khối D | ||
| 8/7 | Sáng | Làm thủ tục dự thi, xử lý những sai sót của thí sinh | ||
| 9/7 | Sáng | Toán | Địa | Toán |
| Chiều | Sinh | Sử | Ngoại ngữ | |
| 10/7 | Sáng | Hóa | Ngữ văn | Ngữ văn |
| Chiều | Dự trữ | |||
Chúc các sĩ tử đạt kết quả cao trong kỳ thi đại học 2014!















