Beta glucan là loại hợp chất quý được chứng minh có khả năng tăng cường hệ thống miễn dịch của cơ thể. Vậy hiện nay có những loại beta glucan nào và có phải loại nào cũng có khả năng ấy không?
Beta glucan có những loại nào?
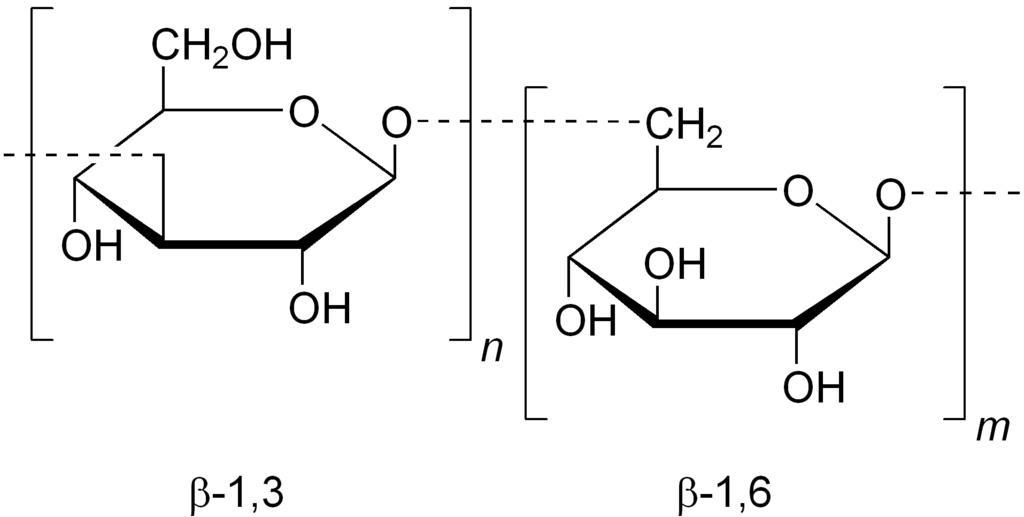
Beta glucan là một hợp chất đường liên phân tử được tạo nên từ các đơn phân tử D-glucose gắn với nhau qua liên kết β-glycoside. Theo một số nghiên cứu cho thấy beta glucan có 3 dạng chủ yếu là:
- Beta glucan 1 - 3.
- Beta glucan 1 - 4.
- Beta - glucan 1 -6.
| Cấu trúc phân tử Beta glucan 1, 3 và 1, 6 |
Do sự khác nhau về liên kết beta glucan, cấu trúc hóa học nên mỗi dạng sẽ có một đặc tính sinh học, mức độ tan và phản ứng khác nhau.
Loại beta glucan nào tốt cho sức khỏe nhất?
Hệ thống miễn dịch của cơ thể chính là vũ khí giúp bảo vệ cơ thể khỏi những tác nhân có hại gây bệnh. Trong đó hệ miễn dịch còn có khả năng kiểm soát sự phát triển của tế bào ung thư, tiêu diệt và phòng ngừa ung thư tái phát trở lại.
Beta glucan không có tác dụng trực tiếp để tiêu diệt tác nhân có hại gây bệnh, tế bào ung thư nhưng Beta glucan có khả năng hoạt hóa các tế bào miễn dịch giúp chính những tế bào miễn dịch này có khả năng nhận biết và ghi nhớ và tiêu diệt tác nhân gây bệnh, tế bào ung thư. Và khi xuất hiện những tác nhân có cấu trúc giống như vậy hệ miễn dịch sẽ có ngay những tế bào đặc hiệu đến để tiêu diệt bảo vệ cơ thể.
Vì thế nó có công dụng của beta glucan rất an toàn, hiệu quả và lâu dài. Đồng thời không gây thêm cho bệnh nhân bất kỳ tác dụng phụ và bất lợi gì cho cơ thể.
Tuy nhiên không phải loại beta glucan nào cũng có tác dụng như vậy. Theo các chứng minh cho thấy cấu trúc phân tử beta glucan 1 -3, 1- 6 là dạng có tác dụng tăng cường hệ thống miễn dịch tự nhiên tốt nhất.
Nguồn gốc beta glucan ở đâu tốt nhất?
Cấu trúc phân tử beta glucan 1 - 3, 1 - 6 chủ yếu thường gặp trong các loại nấm đã được chứng minh có tác dụng cao trong việc tăng cường hệ miễn dịch của cơ thể. Bởi trong những loại nấm này cấu trúc beta glucan ở dạng sợi dài và có cấu trúc không gian 3 chiều nên khi vào đến ruột các phân tử beta glucan bị bắt lại bởi các đại thực bào, và bị chúng phân rã thành nhiều mảnh nhỏ. Các tế bào này được vận chuyển đến tủy xương và mạng lưới nội mô và được gắn nhiều tế bào miễn dịch khác nhau từ đó gia tăng được khả năng nhận biết, ghi nhớ và diệt tác nhân có hại gây bệnh, tế bào ung thư của cơ thể.
| Beta glucan có chứa hàm lượng cao trong các loại nấm |
Một số loại nấm có hàm lượng beta glucan cao đã được chứng minh như: nấm vân chi, nấm linh chi, nấm đông cô, nấm Maitake, nấm thái dương,... Đồng thời chúng còn hỗ trợ rất lớn trong quá trình nâng cao hiệu quả điều trị ung thư bằng liệu pháp hóa trị và xạ trị. Từ đó giúp bệnh nhân ung thư giảm kích thước của khối u, kéo dài thời gian sống.
Hiện nay có nhiều sản phẩm có chứa beta glucan có nguồn gốc từ bã men bia - chúng có cấu trúc ngắn nên không đạt hiệu quả tăng cường miễn dịch cao. Vì vậy khi sử dụng cần phải xem kỹ lưỡng, tham khảo ý kiến từ các chuyên gia để có thể đem lại hiệu quả cao nhất.
Xem thêm>>>Beta glucan giá bao nhiêu tiền? Chú ý khi sử dụng các sản phẩm Beta glucan?
Phạm Hưng
Beta glucan là loại hợp chất quý được chứng minh có khả năng tăng cường hệ thống miễn dịch của cơ thể. Vậy hiện nay có những loại beta glucan nào và có phải loại nào cũng có khả năng ấy không?
Beta glucan có những loại nào?
Beta glucan là một hợp chất đường liên phân tử được tạo nên từ các đơn phân tử D-glucose gắn với nhau qua liên kết β-glycoside. Theo một số nghiên cứu cho thấy beta glucan có 3 dạng chủ yếu là:
- Beta glucan 1 - 3.
- Beta glucan 1 - 4.
- Beta - glucan 1 -6.
Cấu trúc phân tử Beta glucan 1, 3 và 1, 6
Do sự khác nhau về liên kết beta glucan, cấu trúc hóa học nên mỗi dạng sẽ có một đặc tính sinh học, mức độ tan và phản ứng khác nhau.
Loại beta glucan nào tốt cho sức khỏe nhất?
Hệ thống miễn dịch của cơ thể chính là vũ khí giúp bảo vệ cơ thể khỏi những tác nhân có hại gây bệnh. Trong đó hệ miễn dịch còn có khả năng kiểm soát sự phát triển của tế bào ung thư, tiêu diệt và phòng ngừa ung thư tái phát trở lại.
Beta glucan không có tác dụng trực tiếp để tiêu diệt tác nhân có hại gây bệnh, tế bào ung thư nhưng Beta glucan có khả năng hoạt hóa các tế bào miễn dịch giúp chính những tế bào miễn dịch này có khả năng nhận biết và ghi nhớ và tiêu diệt tác nhân gây bệnh, tế bào ung thư. Và khi xuất hiện những tác nhân có cấu trúc giống như vậy hệ miễn dịch sẽ có ngay những tế bào đặc hiệu đến để tiêu diệt bảo vệ cơ thể.
Vì thế nó có công dụng của beta glucan rất an toàn, hiệu quả và lâu dài. Đồng thời không gây thêm cho bệnh nhân bất kỳ tác dụng phụ và bất lợi gì cho cơ thể.
Tuy nhiên không phải loại beta glucan nào cũng có tác dụng như vậy. Theo các chứng minh cho thấy cấu trúc phân tử beta glucan 1 -3, 1- 6 là dạng có tác dụng tăng cường hệ thống miễn dịch tự nhiên tốt nhất.
Nguồn gốc beta glucan ở đâu tốt nhất?
Cấu trúc phân tử beta glucan 1 - 3, 1 - 6 chủ yếu thường gặp trong các loại nấm đã được chứng minh có tác dụng cao trong việc tăng cường hệ miễn dịch của cơ thể. Bởi trong những loại nấm này cấu trúc beta glucan ở dạng sợi dài và có cấu trúc không gian 3 chiều nên khi vào đến ruột các phân tử beta glucan bị bắt lại bởi các đại thực bào, và bị chúng phân rã thành nhiều mảnh nhỏ. Các tế bào này được vận chuyển đến tủy xương và mạng lưới nội mô và được gắn nhiều tế bào miễn dịch khác nhau từ đó gia tăng được khả năng nhận biết, ghi nhớ và diệt tác nhân có hại gây bệnh, tế bào ung thư của cơ thể.
Beta glucan có chứa hàm lượng cao trong các loại nấm
Một số loại nấm có hàm lượng beta glucan cao đã được chứng minh như: nấm vân chi, nấm linh chi, nấm đông cô, nấm Maitake, nấm thái dương,... Đồng thời chúng còn hỗ trợ rất lớn trong quá trình nâng cao hiệu quả điều trị ung thư bằng liệu pháp hóa trị và xạ trị. Từ đó giúp bệnh nhân ung thư giảm kích thước của khối u, kéo dài thời gian sống.
Hiện nay có nhiều sản phẩm có chứa beta glucan có nguồn gốc từ bã men bia - chúng có cấu trúc ngắn nên không đạt hiệu quả tăng cường miễn dịch cao. Vì vậy khi sử dụng cần phải xem kỹ lưỡng, tham khảo ý kiến từ các chuyên gia để có thể đem lại hiệu quả cao nhất.
Xem thêm>>>Beta glucan giá bao nhiêu tiền? Chú ý khi sử dụng các sản phẩm Beta glucan?










