Đáp án đề thi THPT quốc gia 2017 môn Toán mã đề 123. Trang đời sống & Pháp luật sẽ cập nhật nhanh nhất đáp án chính thức môn Toán của Bộ GD-ĐT.
(Ấn F5 để cập nhật đáp án gợi ý môn Toán THPT quốc gia 2017)
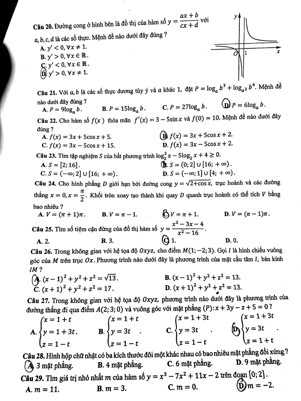
Đáp án gợi ý môn Toán mã đề 123 THPT quốc gia 2017. |
Xem thêm
Đề thi Toán mã 123 - Nguồn: Hocmai. |
Đáp án gợi ý môn Ngữ văn THPT quốc gia 2017.
Chiều nay (22/6), gần 1 triệu thí sinh trên cả nước tiếp tục dự thi môn Toán THPT quốc gia 2017. Môn thi này thi theo hình thức trắc nghiệm, thời gian làm bài 90 phút, bắt đầu phát đề lúc 14h20, tính thời gian làm bài từ 14h30.
Liên quan đến tình hình kỳ thi THPT quốc gia năm 2017, báo Infonet thông tin, theo thống kê của Bộ GD-ĐT cho thấy, trong buổi sáng 22/6 với bài thi môn Ngữ Văn: Tổng số thí sinh đăng kí dự thi: 837.818; Tổng số thí sinh đến dự thi: 833.894, đạt tỷ lệ 99.53%.; tổng số thí sinh vi phạm kỷ luật: 38 thí sinh. Trong đó, có 1 cảnh cáo, 37 trường hợp bị đình chỉ thi.
Theo tờ Tuổi trẻ, báo cáo của Ban chỉ đạo thi các tỉnh, thành phố cho biết, tình hình thời tiết thuận lợi, không xảy ra sự cố nào ảnh hưởng tới kì thi. Đề thi đảm bảo tính bảo mật, không có sai sót. Tuy nhiên ở một số tỉnh thành, có hiện tượng thí sinh bị ngất xỉu phải ngừng buổi thi do bị ốm từ trước.
.png)
















