Đáp án đề thi môn Khoa học tự nhiên Hóa học-Vật lí-Sinh học mã đề 223 THPT quốc gia 2019. Cập nhật đáp án gợi ý Hóa học-Vật lí-Sinh học mã đề 223 THPT quốc gia 2019 trên Đời sống & Pháp Luật.
Đáp án gợi ý môn Hóa học mã đề 223 THPT quốc gia 2019 |
Đáp án gợi ý môn Sinh học THPT quốc gia 2019 mã đề 223. Nguồn: Tuyensinh247.com |
Đáp án gợi ý môn Vật lý THPT quốc gia 2019 mã đề 223. Nguồn: Tuyensinh247.com |
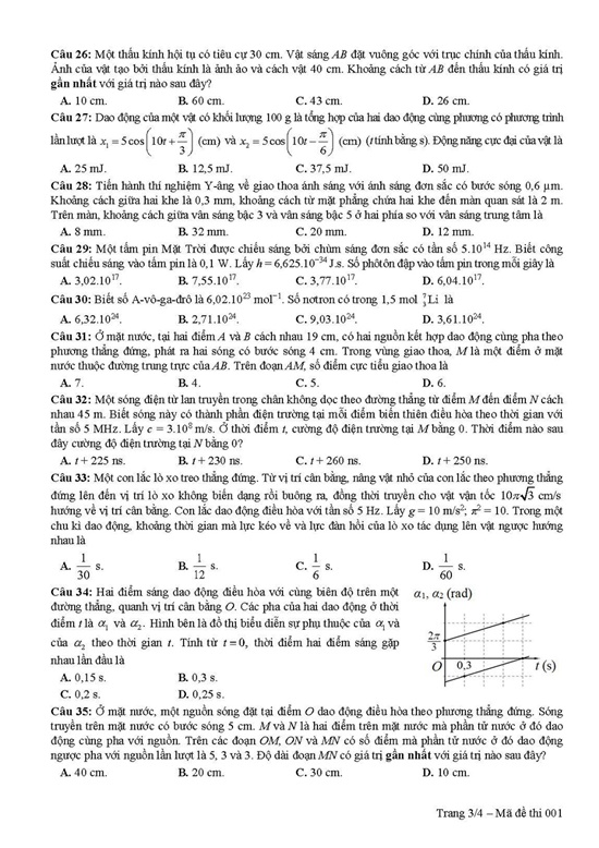
Đề thi môn Vật Lí mã đề 223 THPT quốc gia 2019. (Đáp án trong đề là của thí sinh) |
Tham khảo:
Xem đáp án môn Khoa học tự nhiên tất cả các mã đề THPT quốc gia 2019 TẠI ĐÂY.
Kỳ thi THPT quốc gia 2019 diễn ra từ ngày 25-27/6/2019. Theo lịch thi THPT quốc gia 2018, trong ngày hôm nay (26/6), các thí sinh tiếp tục trải qua 2 bài thi là tổ hợp Khoa học tự nhiên bao gồm: Hóa học, Vật lí, Sinh học vào buổi sáng và Ngoại ngữ vào chiều cùng ngày.
Môn Khoa học tự nhiên có tổng thời gian làm bài 150 phút (không kể thời gian phát và thu đề giữa giờ các môn thi). Các thí sinh bắt đầu được phát đề thi môn Vật lý vào lúc 7h30, bắt đầu tính giờ từ 7h35 và kéo dài trong 50 phút. Sau đó, các thí sinh tiếp tục trải qua bài thi môn Hóa học và Sinh học vào lần lượt vào lúc 8h30 và 9h30.
Đề thi minh họa môn Khoa học tự nhiên năm 2019 do Bộ GD-ĐT công bố:
Theo số liệu từ Bộ GD-ĐT, năm 2019 có hơn 887.000 thí sinh cả nước tham dự kỳ thi THPT quốc gia với gần 38.050 phòng thi; 1.980 điểm thi.
Trong đó, có 233.977 thí sinh chỉ đăng ký để xét tốt nghiệp THPT mà không có nhu cầu dùng kết quả thi để xét tuyển vào các trường đại học (chiếm 26,38%); 622.925 thí sinh thi đăng ký để xét tốt nghiệp và tuyển sinh ĐH, CĐ (chiếm 70,22%); 30.202 thí sinh chỉ đăng ký để xét tuyển ĐH, CĐ (chiếm 3,04%).
Số đăng ký xét tuyển đại học, cao đẳng nhóm ngành đào tạo giáo viên là hơn 653.000 em.
Năm nay, công thức tính điểm xét tốt nghiệp THPT đối với các thí sinh THPT có sự thay đổi. Theo đó, điểm xét tốt nghiệp Trung học phổ thông cũng thay đổi theo tỷ lệ 70% điểm bài thi Trung học phổ thông quốc gia và 30% điểm trung bình cả năm lớp 12.
Các thí sinh cần thực hiện bài thi độc lập là Toán, Ngữ văn, Ngoại ngữ và hai bài thi tổ hợp gồm Khoa học tự nhiên (Vật lý, Sinh học, Hóa học), Khoa học xã hội (Lịch sử, Địa lý, GDCD với thí sinh học chương trình giáo dục THPT; Lịch sử, Địa lý với thí sinh học chương trình giáo dục thường xuyên).
Năm 2019, số thí sinh chọn môn Khoa học tự nhiên để thi THPT quốc gia 2019 chỉ chiếm khoảng hơn 47%. Ngày 26/6, các thí sinh làm bài Khoa học tự nhiên vào buổi sáng và Ngoại ngữ vào buổi chiều. Thời gian để làm bài thi của các môn Khoa học tự nhiên là 50 phút.
Liên quan đến kì thi THPT quốc gia năm 2019, trong ngày thi đầu tiên (25/6) Bộ GD&ĐT cho biết, hai 2 bài thi môn Toán và Ngữ Văn có tổng số thí sinh đăng kí dự thi là gần 900.000 em.
Trong đó, Môn Ngữ văn: 871.843; Môn Toán: 882.524; Tổng số thí sinh đến dự thi: Môn Ngữ văn: 868.378, đạt tỷ lệ 99,60%; Môn Toán: 878.393, đạt tỷ lệ 99,53%.
Bộ GD&ĐT cho biết, về thực hiện quy chế thi ngày thi đầu tiên có tổng số 34 thí sinh vi phạm quy chế thi, trong đó khiển trách: 01 thí sinh, cảnh cáo 3 thí sinh, đình chỉ: 30 thí sinh.
Ban chỉ đạo thi cũng đình chỉ công tác coi thi đối với 02 cán bộ.
Đánh giá chung tình hình ngày thi thứ nhất, các Điểm thi trên cả nước tổ chức thi an toàn, nghiêm túc và đúng Quy chế.
Vi An (T/h)
.jpg)




















